Συντάξεις από 1η Ιανουαρίου 2026: Αυξήσεις έως 2,4% και μείωση φόρου για 2,5 εκατ. συνταξιούχους

Οι πρώτες μηνιαίες αυξήσεις θα πιστωθούν στη σύνταξη του Ιανουαρίου που θα πληρωθεί νωρίτερα από τον ΕΦΚΑ και πιθανότατα μεταξύ 19 και 23 Δεκεμβρίου - Ετήσιο όφελος από 260 έως 2.054 ευρώ

- Newsroom

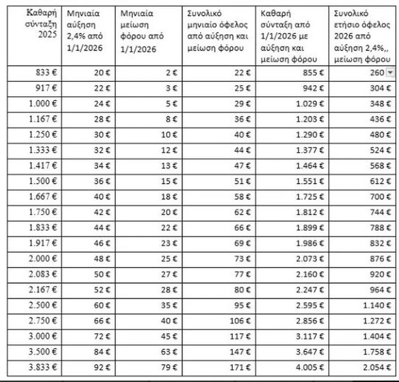
Οι συνταξιούχοι θα δουν σημαντικό όφελος από την αύξηση κατά 2,4% στις συντάξεις τους, σε συνδυασμό με τη μείωση της παρακράτησης φόρου. Το ετήσιο όφελος ξεκινά από 260 ευρώ και μπορεί να φτάσει έως 2.054 ευρώ, ανάλογα με το ύψος της σύνταξης.

Οι πρώτες αυξήσεις θα πιστωθούν στους λογαριασμούς των συνταξιούχων με τη σύνταξη του Ιανουαρίου 2026, η οποία αναμένεται να καταβληθεί νωρίτερα, πιθανότατα μεταξύ 19 και 23 Δεκεμβρίου.

Συνολικά, οι αυξήσεις θα επηρεάσουν περίπου 2,5 εκατομμύρια συνταξιούχους, από τους οποίους 1,5 εκατομμύριο θα έχουν διπλό όφελος χάρη στη μείωση της παρακράτησης φόρου για όσους λαμβάνουν συντάξεις πάνω από το αφορολόγητο όριο.

Πόσο θα αυξηθούν οι συντάξεις ανά κλίμακα

  • 833 – 1.167 ευρώ: Μηνιαία αύξηση 22 – 36 ευρώ, ετήσιο όφελος 260 – 436 ευρώ.
  • 1.250 – 1.667 ευρώ: Μηνιαία αύξηση 40 – 58 ευρώ, ετήσιο όφελος 480 – 700 ευρώ.
  • 1.750 – 2.500 ευρώ: Μηνιαία αύξηση 62 – 95 ευρώ, ετήσιο όφελος 744 – 1.140 ευρώ.
  • 2.750 – 3.833 ευρώ: Μηνιαία αύξηση 106 – 171 ευρώ, ετήσιο όφελος 1.272 – 2.054 ευρώ.

Αυξήσεις ανά ταμείο

Με την αύξηση 2,4%, οι μέσες συντάξεις για το 2026 διαμορφώνονται ως εξής:

  • ΙΚΑ: Από 1.218 σε 1.247,23 ευρώ (30 έτη ασφάλισης)
  • Δημόσιο: Από 1.315 σε 1.346,56 ευρώ (35 έτη ασφάλισης)
  • Δημόσιο (40 έτη): Από 1.374 σε 1.406 ευρώ
  • ΔΕΚΟ & Τράπεζες: Από 2.609 σε 2.671 ευρώ (30 έτη ασφάλισης)
  • ΕΤΑΑ: Από 1.257 σε 1.287 ευρώ (30 έτη ασφάλισης)
  • ΟΓΑ: Από 644 σε 659,46 ευρώ (30 έτη ασφάλισης)

Απαλλαγή ΕΑΣ και τιμαριθμοποίηση

Με την τιμαριθμοποίηση της ΕΑΣ, οι συντάξεις έως 1.468 ευρώ απαλλάσσονται από την εισφορά. Η αύξηση στις συντάξεις δεν επηρεάζει τη συμμετοχή στην ίδια κλίμακα, διατηρώντας χαμηλή την παρακράτηση για χιλιάδες συνταξιούχους. Για παράδειγμα, συνταξιούχος με σύνταξη 1.740 ευρώ θα δει την ΕΑΣ σχεδόν σταθερή στα 53,45 ευρώ, αντί για 106,86 ευρώ χωρίς την τιμαριθμοποίηση.

Η πρόβλεψη για το 2026 προβλέπει ότι τουλάχιστον 50% της αύξησης θα χορηγηθεί σε 671.000 συνταξιούχους με προσωπική διαφορά, ενώ από το 2027 θα λαμβάνουν ολόκληρη την αύξηση, καθώς ο συμψηφισμός με την προσωπική διαφορά καταργείται.

Πώς διαμορφώνονται οι συντάξεις από 1/1/2026 με την αύξηση 2,4% και τη μείωση φόρου:

ecd9dec9672d498ea43c6b6083a2c343.jpg

Πηγή: capital.gr

Loader
ESPA