Το "Ιπποκράτειο" ευχαριστεί, συγχαίρει και καλωσορίζει τις εθελόντριες νοσηλεύτριες και νοσηλευτές
Στις 25 και σταδιακά στις 30 οι κλίνες ΜΕΘ με τη συμβολή των εθελοντών -Η ανακοίνωση της διοίκησης του νοσοκομείου
Θα παραδοθούν τον Ιανουάριο και τον Φεβρουάριο του 2021
- Newsroom
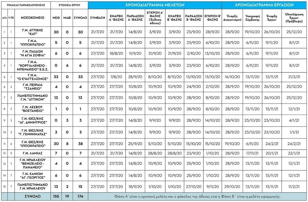
Πενήντα τρεις κλίνες Μονάδων Εντατικής Θεραπείας και Μονάδων Αυξημένης Φροντίδας θα προστεθούν μέσα στις γιορτές των Χριστουγέννων στα νοσοκομεία Άγιος Δημήτριος και Γ. Γεννηματάς, στη Θεσσαλονίκη, και ΚΑΤ, Tζάνειο, Αττικόν στην Αθήνα, στο πλαίσιο υλοποίησης δωρεάς του Ιδρύματος Σταύρος Νιάρχος.
Η δωρεά, συνολικού ύψους 16,4 εκατομμυρίων ευρω, που ανακοινώθηκε τον περασμένο Μάιο αφορά στη δημιουργία συνολικά 174 τέτοιων κλινών σε 15 νοσοκομεία της χώρας μας, και επιπλέον χρηματοδοτεί ένα πενταετές, ολοκληρωμένο πρόγραμμα εκπαίδευσης γιατρών και νοσηλευτών στις ΜΕΘ. Οι νέες κλίνες αναμένεται να εξυπηρετούν περισσότερους από 6.500 ασθενείς ετησίως.
Οι νέες κλίνες σε νοσοκομεία της Θεσσαλονίκης
Στο πλαίσιο της δωρεάς θα προστεθούν οι εξής κλίνες στα νοσοκομεία της Θεσσαλονίκης:
-την Πρωτοχρονιά αναμένεται να παραδοθούν τρεις κλίνες ΜΕΘ στο «Γεννηματάς»
-στις 4 Ιανουαρίου 2021 αναμένεται να παραδοθούν τρεις κλίνες ΜΑΦ στο "Άγιος" Δημήτριος», και
-στις 24 Φεβρουαρίου 30 κλίνες ΜΕΘ και 8 κλίνες ΜΑΘ στο Ιπποκράτειο.
Έξι μήνες για να ολοκληρωθεί η διαδικασία
Η δωρεά βρίσκεται σε πλήρη εξέλιξη και καταβάλλεται από όλες τις πλευρές έντονη προσπάθεια να αρθούν οι πρωτόγνωρες δυσκολίες που θέτει η πανδημία στα κατασκευαστικά προγράμματα. Μέχρι τα μέσα Ιανουαρίου 2021 θα έχουν παραδοθεί οι χώροι για άλλες 28 κλίνες σε Ιπποκράτειο Αθήνας, Παίδων Αγία Σοφία, Κοργιαλένειο-Μπενάκειο, Βοστάνειο Λέσβου, Βενιζέλειο στο Ηράκλειο και Άγιος Γεώργιος στα Χανιά. Στο τέλος Ιανουαρίου 2021 αναμένεται να ολοκληρωθεί και το έργο για τις 7 νέες κλίνες στο Νοσοκομείο Λαμίας. Οι χώροι για τις υπόλοιπες 86 κλίνες θα παραδοθούν, στα τέλη Φεβρουαρίου 2021, στο Ιπποκράτειο Θεσσαλονίκης, στο Πανεπιστημιακό Ηρακλείου και στον Ευαγγελισμό, στον οποίο θα δημιουργηθούν 33 νέες κλίνες.
Η διαδικασία ολοκλήρωσης των εργασιών για την παράδοση των ΜΕΘ και των ΜΑΦ, και με δεδομένη την καλή συνεργασία μεταξύ του ΙΣΝ και του Ελληνικού Δημοσίου και την εφαρμογή ταχειών διαδικασιών για την αποφυγή γραφειοκρατικών καθυστερήσεων, παραμένει απαιτητική και χρονοβόρα, διάρκειας περίπου 6 μηνών. Ενδεικτικά, η διαδικασία περιλαμβάνει μια σειρά από απαραίτητα βήματα, όπως την κύρωση της σχετικής σύμβασης δωρεάς μεταξύ του ΙΣΝ και του Ελληνικού Δημοσίου από το Ελληνικό Κοινοβούλιο, τη διενέργεια διαγωνισμών για την επιλογή αναδόχων για τα έργα σχεδιασμού και κατασκευής των χώρων που θα στεγάσουν τις νέες ΜΕΘ και ΜΑΦ, καθώς και την υπογραφή συμβάσεων μεταξύ του ΙΣΝ, του Ελληνικού Δημοσίου και της Διοίκησης καθενός από τα 15 νοσοκομεία ξεχωριστά. Επιθυμία όλων είναι να μπορούν τα έργα υπερ-επείγουσας σημασίας, όπως το συγκεκριμένο, να ολοκληρώνονται το ταχύτερο δυνατό, τηρώντας ταυτόχρονα τις διαδικασίες για τη σωστή λειτουργία τους.
Δωρεά 73,7 εκατ. ευρω
Τον Απρίλιο του 2020, ανταποκρινόμενο στις σοβαρές προκλήσεις που έθεσε σε ολόκληρο τον πλανήτη η πανδημία, το ΙΣΝ ανακοίνωσε τη Διεθνή Πρωτοβουλία Δράσης, ύψους $100 εκατομμυρίων για την αντιμετώπιση των συνεπειών της. Μέχρι στιγμής, το ΙΣΝ έχει διαθέσει δωρεές συνολικού ύψους €73.7 εκατομμυρίων. Στην Ελλάδα, έχουν διατεθεί παραπάνω από €32 εκατομμύρια στο πλαίσιο αυτής της πρωτοβουλίας. Αυτές οι δωρεές στοχεύουν στην ενίσχυση των υποδομών υγειονομικής περίθαλψης της χώρας, και στην καταπολέμηση των κοινωνικοοικονομικών επιπτώσεων της πανδημίας, τόσο βραχυπρόθεσμα όσο και μακροπρόθεσμα.
Στα τέλη Ιουλίου, στο πλαίσιο της πρωτοβουλίας, το ΙΣΝ προσέφερε τιμητική ενίσχυση σε περισσότερους από 4700 γιατρούς, νοσηλευτές και προσωπικό καθαρισμού στα νοσοκομεία αναφοράς COVID-19, σε ένδειξη αναγνώρισης της προσφοράς τους, κατά το πρώτο κύμα της πανδημίας.
Παράλληλα, το Ίδρυμα Σταύρος Νιάρχος υποστηρίζει την προμήθεια δύο συστημάτων μοριακών εξετάσεων και αντιδραστηρίων, με σκοπό να αυξηθεί σημαντικά η δυνατότητα πραγματοποίησης εξετάσεων για τη διάγνωση κρουσμάτων και τον έλεγχο της διασποράς της πανδημίας.
Επιπλέον το ΙΣΝ σε μια προσπάθεια να βοηθήσει, όπως και όσο περισσότερο μπορεί συνολικά, σε διαφορετικά μέτωπα, έχει προχωρήσει στην υποστήριξη προγραμμάτων διασφάλισης σίτισης σε συνεργασία με τη ΜΚΟ Μπορούμε, για την υποστήριξη 10.000 συμπολιτών μας και οικογενειών που έχουν πληγεί περισσότερο από την πανδημία, καθώς και την ΚΕΔΕ για την προμήθεια τροφίμων των Κοινωνικών Παντοπωλείων σε όλους τους δήμους ανά την Ελλάδα για τη διασφάλιση άμεσης πρόσβασης σε βασικά επισιτιστικά αγαθά.
Για την ανακούφιση συνανθρώπων μας που έχουν επηρεαστεί ιδιαίτερα από τις επιπτώσεις της πανδημίας, το ΙΣΝ στηρίζει, επίσης, την ενίσχυση, επέκταση και συνέχιση της Τηλεφωνικής Γραμμής Ψυχολογικής Υποστήριξης για τον κορονοϊό «10306», με δωρεά προς το Εθνικό & Καποδιστριακό Πανεπιστήμιο Αθηνών (ΕΚΠΑ).
Επιπρόσθετα, στο πλαίσιο της Πρωτοβουλίας το ΙΣΝ έχει προχωρήσει σε δωρεές με έμφαση στην παροχή έκτακτης βοήθειας και ιατρικής φροντίδας σε πρόσφυγες που αντιμετωπίζουν ιδιαίτερα επείγουσες συνθήκες σε δύο νησιά υποδοχής (Λέσβο και Σάμο) αλλά και στην ενδοχώρα, όπως επίσης και στην προσφορά βοήθειας σε ανθρώπους που ζουν με σοβαρές και χρόνιες ασθένειες και που βρίσκονται αντιμέτωποι με τους επιπλέον κινδύνους που θέτει η πανδημία, καθώς και στην υποστήριξη παιδιών που αντιμετωπίζουν δύσκολες συνθήκες στο σπίτι τους με δωρεές στους Γιατρούς χωρίς Σύνορα, στην Ένωση Ασθενών Ελλάδας, την Πνοή Αγάπης και την Πρωτοβουλία για το Παιδί.
Στις 25 και σταδιακά στις 30 οι κλίνες ΜΕΘ με τη συμβολή των εθελοντών -Η ανακοίνωση της διοίκησης του νοσοκομείου
«Χρειάστηκε από αξημέρωτα να φωνάζουμε και να μαλώνουμε, οι περισσότεροι πήγαν από παρακαμπτήριους»
Συγκεκριμένα, αναδείχθηκε για πέμπτη συνεχόμενη χρονιά ως ο «Καλύτερος Τουριστικός Προορισμός» στα GT Tested Reader Survey Awards 2025
Σήμερα, Παρασκευή 19 Δεκεμβρίου, η Νέα Παραλία φιλοξενεί αφήγηση παραμυθιού, τραγούδια, ζωγραφική και εκπλήξεις, με τη συμμετοχή του Αϊ-Βασίλη και των παιδαγωγών Δωροθέας Στεφανή και Φλώρας Μποσματζή